Surprise Me!

13 Xcas y Matemáticas. Sistemas lineales

2014-01-10 49 Dailymotion

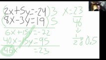
Xcas es un programa de cálculo simbólico de software libre que funciona en Mac, Windows, Linux, Android e IOS (únicamente la versión de IOS no es gratuita). También tiene una versión online que funciona en cualquier navegador. En realidad Xcas es una GUI que permite manejar la librería Giac, que es el núcleo del programa. Por ello en distintos sistemas operativos la presentación es distinta, pero los comandos y el modo de manejo es el mismo. De especial interés es la versión Android, llamada Xcas Pad, que es posiblemente una de las mejores herramientas de cálculo simbólico en dispositivos portatiles.