Surprise Me!
Numeros Racionais Pt2
2017-04-19
31
Dailymotion
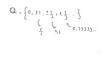
Segundo video da série de numeros racionais
Please enable JavaScript to view the
comments powered by Disqus.
Related Videos
Aula 1 - Conjunto dos números naturais, inteiros, racionais e reais, Dízimas periódicas
Numeros racionais Pt1
Conjunto dos Numeros Racionais
Conjuntos dos Números Reais (União dos Racionais e Irracionais) - MEM #10 - YouTube
Visual Basic (Aula 6) Aula de Programação para Iniciantes - Números randômicos e Integer
Aula 01 - Números e Operações
Aula de japones, Numeros em Kanji 1-10
aula 6604 datasnap - implementando function para calculo somar 2 numeros usando client_server
Aula 02 - Operações com números em representação decimal
Aula 06 - Conversão de números Decimais para Binários e de Binários para Decimais