Surprise Me!

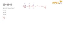
2008 LİSANS KPSS

2012-02-07 709 Dailymotion

Adresimiz değişmiştir. Yeni adresimiz www.ragipsahin.com.tr de diğer yıllara ait kpss matematik sorularının çözümlerini bulabilirsiniz...